迈加医学产业园|通知!《柳叶刀》证实儿童青少年接种保护效力会更好,9月开打!


迈加医学产业园|通知!《柳叶刀》证实儿童青少年接种保护效力会更好,9月开打!
文章图片
迈加医学产业园|通知!《柳叶刀》证实儿童青少年接种保护效力会更好,9月开打!
文章图片


18岁以下人群新冠病毒疫苗接种安排来了!7月5日晚8时许 , 广东省东莞市政府新闻办召开第七场新冠肺炎疫情防控新闻发布会 。
市卫生健康局局长叶向阳出席发布会时表示 , 根据国家和省的有关部署 , 7月起 , 东莞稳妥推进全市60岁及以上人群新冠病毒疫苗接种工作 。
此外 , 根据上级安排 , 东莞预计在9月份开展全市3岁至17岁人群的新冠病毒疫苗接种工作 , 最终接种安排以国家、省正式下发相关实施方案为准 。
《柳叶刀-感染病学》研究显示儿童青少年接种保护效力会更好
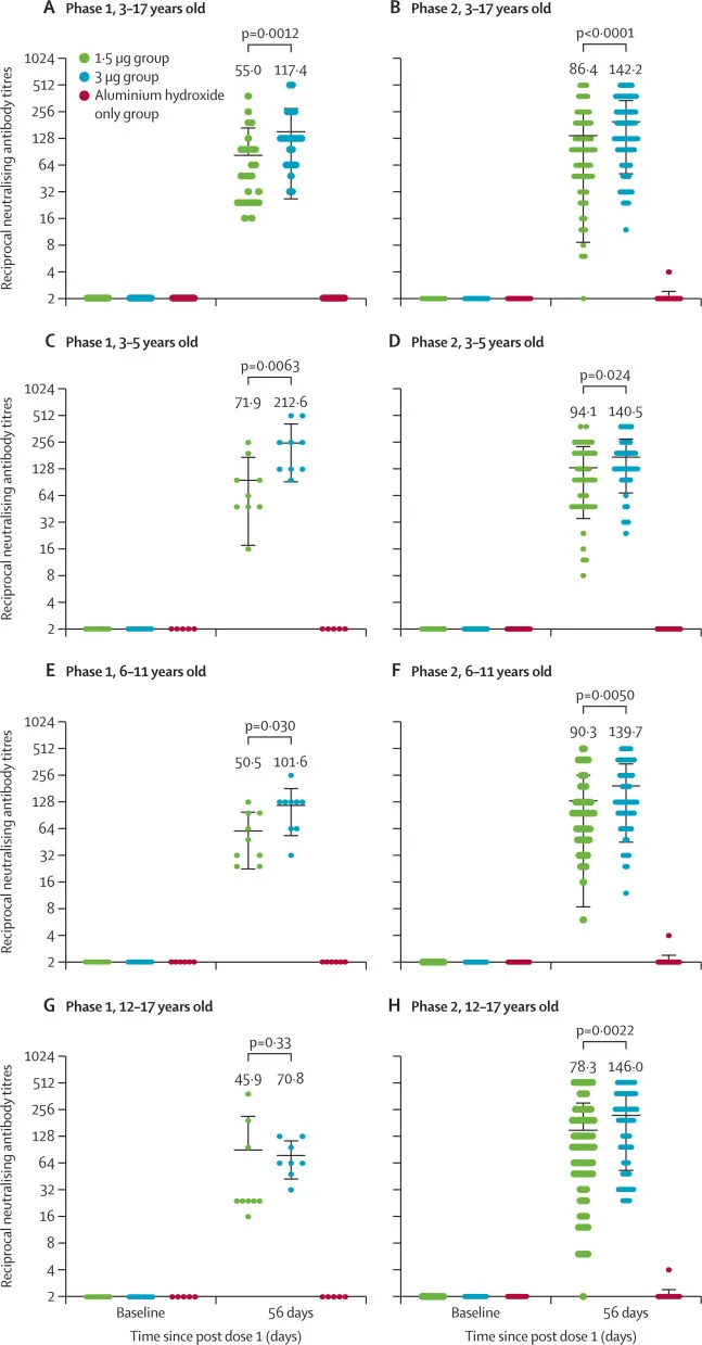
6月28日晚 , 世界权威传染病期刊《柳叶刀-感染病学》杂志在线发表了科兴研制的新冠病毒灭活疫苗在中国3-17岁健康儿童和青少年中接种的安全性、耐受性和免疫原性双盲随机对照Ⅰ/Ⅱ期临床研究结果 。 这是全球首个发布的关于新冠肺炎疫苗在低至3岁儿童中使用的研究结果 。
研究结果显示 , 在3-17岁的健康儿童和青少年人群中 , 采用0 , 28天接种免疫接种2剂新冠灭活疫苗 , 表现出良好的安全性和耐受性 , 可诱导机体产生较强的体液免疫反应 。 论文指出 , 对比3 μg CoronaVac疫苗以相同接种程序在成人中的1/2期试验结果 , 儿童和青少年的免疫反应高于18-59岁成年和≥60岁的老年人(中和抗体GMT分别为44和42) 。
安全性结果显示 , 在接受至少一剂疫苗或对照疫苗的550名受试者中 , 1.5 μg组有26%(56/219)在28天内发生不良反应 , 3 μg组这一比例为29%(63/217) , 对照组为24%(27/114) 。 各组间的不良反应发生率没有显著区别 。
大多数不良反应为轻度或中度 。 注射部位疼痛(13%[73/550
)是最常报告的症状 , 1.5 μg组、3 μg组和对照组注射部位疼痛发生率分别为16%、16%和2% 。 仅报告了一例严重不良反应(肺炎) , 发生在对照组 , 研究者判断与疫苗接种无关 。
免疫原性结果显示 , 在1期试验中 , 接种两剂疫苗后 , 1.5 μg组和3 μg组受试者都100%(分别为27/27和26/26)产生了针对新冠病毒的中和抗体 。 与1.5 μg组相比 , 3 μg组中检测到更强的免疫反应 , 中和抗体的几何平均滴度(GMT)更高(117.4 vs 55.0) 。
在2期试验中 , 1.5 μg组96.8%受试者(180/186)产生新冠中和抗体 , 3 μg组100%受试者(180/180)产生新冠中和抗体 , 且再次观察到3 μg组受试者免疫反应更强烈(中和抗体GMT 142.2 vs 86.4) 。
【迈加医学产业园|通知!《柳叶刀》证实儿童青少年接种保护效力会更好,9月开打!】对照组则未检测到抗体反应 。
▲在1期和2期试验中 , 接种两剂CoronaVac(绿色-1.5 μg组 , 蓝色-3 μg组)或氢氧化铝佐剂稀释剂(红色)后诱导中和抗体滴度(图片来源:参考资料[1

论文指出 , 对比3 μg CoronaVac疫苗以相同接种程序在成人中的1/2期试验结果 , 儿童和青少年的免疫反应高于18-59岁成年和≥60岁的老年人(中和抗体GMT分别为44和42) 。
郑慧贞表示 , 研究表明 , 儿童在接种同一剂量的情况下 , 中和抗体阳转率和抗体滴度是要比老年人和成年人高 , 这进一步说明 , 儿童接种疫苗保护效力会更好 。
另外 , 一般来说 , 3-17岁孩子的紧急接种禁忌证与成年人相同 , 甚至可能比成年人的禁忌证发生概率小一点 。

经验总结扩展阅读