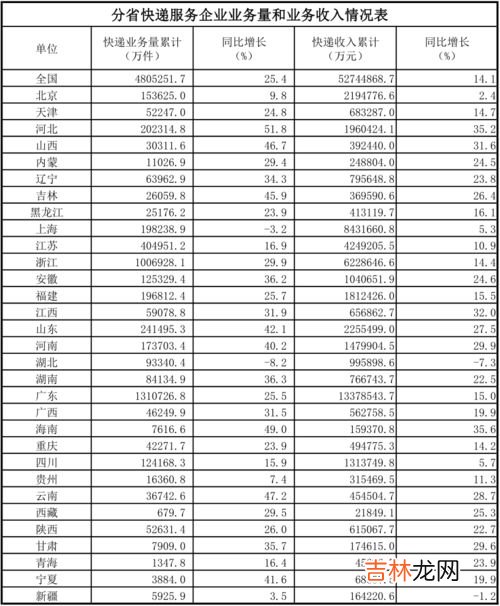
1、国内快递行业现状中国快递业务量和业务收入逐年上升
近年来 , 随着市场需求的快速提升以及快递行业的高速发展,快递业务规模也在高速发展 。2013-2021,全国快递业务量迅速增长,2021年 , 全国快递服务企业业务量累计完成1083.0亿件,同比增长29.9% 。2022年1-10月,全国快递服务企业业务量累计完成898.7亿件,同比增长3.6% 。
快递业务收入方面,2013-2021年,全国快递服务企业业务收入同步提升,2021年 , 全国快递服务企业业务收入累计完成10332.3亿元,同比增长17.5% 。2022年1-10月 , 全国快递服务企业业务收入累计完成8591.3亿元,同比增长3.0% 。
中国快递市场以异地快递业务为主
2022年1-10月 , 同城、异地、国际/港澳台快递业务量分别占全部快递业务量的11.7%、86.5%和1.8%;业务收入分别占全部快递业务收入的6.5%、49.3%和10.8% 。与2021年同期相比,同城快递业务量的比重下降1.4个百分点 , 异地快递业务量的比重上升1.6个百分点,国际/港澳台业务量的比重下降0.2个百分点 。
注:上述数据统计期间为2022年1-10月 。
金华(义乌)市快递业务量全国最大、上海市快递业务收入全国最高
从中国各城市快递服务企业业务量来看 , 2022年1-10月,金华(义乌)市、广州市、深圳市快递服务企业业务量位于前三名 , 分别为93.97亿件、85.64亿件和47.38亿件 。
注:上述数据统计期间为2022年1-10月 。
从全国各城市快递服务企业业务收入来看,2022年1-10月 , 上海市、广州市、深圳市快递服务企业业务收入位于前三名,分别为1505.98亿元、700.43亿元和486.70亿元 。
注:上述数据统计期间为2022年1-10月 。
—— 更多本行业研究分析详见前瞻产业研究院《中国快递行业发展前景与投资战略规划分析报告》
迈入成熟发展时期 。我国物流呈现坚实复苏态势 。2021 年,实体经济持续稳定恢复拉动物流需求快 速增长 , 物流供给服务体系进一步完善,供应链韧性提升,有力地促进宏观经济提质 增效降本 , 物流实现“十四五”良好开局 。

文章插图
文章插图
2、全国快递业务量39天破百亿件养生的铁皮石斛怎么用铁皮石斛是一种药用植物,具有滋补养生、益气健脾、清热解毒、健脑安神等功效 。
1. 养心安神:将铁皮石斛洗净,加入适量的清水煎煮 , 然后喝汤 。
2. 清热解毒:将铁皮石斛洗净,加入适量的清水,然后加入一些生姜片或红枣 , 煎煮后喝汤 。
3. 健脾养胃:将铁皮石斛洗净,加入适量的清水 , 然后加入一些蜂蜜,煎煮后喝汤 。
【全国快递业务量39天破百亿件,国内快递行业现状】4. 抗衰老:将铁皮石斛洗净,加入适量的清水,然后加入一些枸杞,煎煮后喝汤 。

文章插图
文章插图
3、一个站点有多少快递据介绍 , 快递业联系千家万户、连通线上线下,贯通生产、分配、流通、消费多环节,快递业务量仅用39天就达到100亿件,充分彰显了快递业的蓬勃活力、发展韧性和增长潜力 , 折射出我国居民消费信心加速恢复,消费市场活力逐步复苏 。
随着智能化基础设施建设加速,快递网络服务能力日益增强 。数据显示,自2月份以来,全国日均快递业务量超3.3亿件 , 为消费市场注入新活力 。截至2022年底,我国累计建成990个县级寄递公共配送中心、27.8万个村级快递服务站点;新增农村投递汽车近2万辆,累计开通交邮联运邮路1888条,全国95%的建制村实现快递服务覆盖 。目前,每天有1亿多件包裹在乡村进出,助力特产出村、活力焕发 。今年以来,行业跨境寄递能力稳步提升,主要寄递企业累计设立海外仓249个 。
经验总结扩展阅读
- 丰巢快递柜没有取件码怎么取件,没有取件码可以在丰巢快递柜取件吗
- 家用净水器如何选购 全国家用净水器哪种好【详解】
- 上海月最低工资全国最高,为什么会出现这种情况,2020年是啥年上海月最低工资标准全国最高
- 快递平邮是什么意思,快递。平邮,和EMS都是什么意思
- 上海月最低工资全国最高,2023年基本工资
- 2022年是第几个全国学生营养日 全国学生营养日简单介绍
- 2022年全国防灾减灾日主题是 全国防灾减灾日的意义
- 身份证可以快递吗,快递能寄身份证吗?
- 顺丰是送到家还是驿站,顺丰快递是送货上门吗还是自己拿?
- 全国运动会是国内什么的综合性运动会,全运会是什么运动会
