
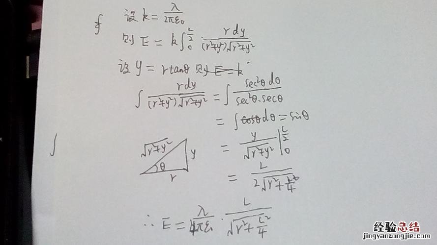
sec x 是三角函数中的余割函数,表示为 sec x = 1/cos x 。它表示的是在直角三角形中,斜边与余弦之比 。
余割函数是三角函数中的基础函数之一,在解决三角函数问题时往往会用到 。它与余弦函数互为倒数,即 sec x = 1/cos x 。
【secx等于什么】sec x在数学和物理学中有广泛的应用 。例如,在电工学中,它常被用于描述交流电压的相位差;在天文学中 , sec x 也用于计算恒星的光强度等 。因此,对于数学和科学领域的学生和专业人士来说,了解和掌握sec x 的概念和性质是非常重要的 。
经验总结扩展阅读
-
-
短发 64岁肖雄告诉我们:女人老了不穿老年装,短发烫卷,能优雅能老
-
壶铃 长胖显壮怎么办?刘亦菲暴瘦10斤显苗条,3个方法很有效
-
作者:黎荔婆媳矛盾为什么是千古难题?与中国家庭的轮回机制有关。|婆媳矛盾为什么是千古难题?
-
-
2022年9月17日立墓碑吉日一览表 2022年9月17日是立墓碑吉日吗
-
肌肤美女明星王楚然高清写真美图,雪肤玉貌,仙气飘飘
-
-
街拍|街拍:大波浪卷发小姐姐,一身潮流时尚衣装,女神范十足
-
2022汽车下乡补贴价格表 2022年汽车下乡补贴车型目录
-
-
-
-
2022年11月18日适合请佛吗 2022年11月18日请佛好不好
-
手机通话记录删除了怎么恢复 手机通话记录删除了恢复的方法
-
-
.NET周报【11月第1期 2022-11-07】
-
-
-