GNN 101
姚伟峰http://www.cnblogs.com/Matrix_Yao/
- GNN 101
- Why
- Graph无处不在
- Graph Intelligence helps
- It’s the right time now!
- What
- 如何建模图
- Different Types of Graph
- 如何表示图
- 如何计算图
- 不同的图数据集规模
- 不同的图任务
- 如何建模图
- How
- Workflow
- 软件栈
- SW Challenges
- Graph Sampler
- Scatter-Gather
- More
- Finishing words
- References
- Why

文章插图
Graph Intelligence helps

文章插图
It’s the right time now!Gartner预测 , graph技术在数据和分析创新中的使用率从2021年的10% , 到2025年会增长到80% 。我们目前正在经历从early adoption到early mainstream的穿越大峡谷期间 , 既不太早也不太晚 , 时间刚刚好 。

文章插图
What如何建模图
A graphis an ordered pair= (, ) comprising:Different Types of Graph
Example:
- , a set of vertices (or nodes)
- ?{(,)|,∈}, a set of edges (or links), which are pairs of nodes
文章插图
- Are edges directed? Directed Graph vs. Undirected Graph
- Are there multiple types of nodes or multiple types of edges? Homogeneous Graph vs Heterogeneous Graph

文章插图
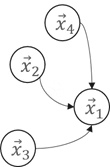
如何计算图如下图所示 , 图的计算步骤如下:
- 遍历图中的所有结点 , 或者采样图中的一些结点 。每次选择其中一个结点 , 称为目标结点(target node);
- 一个-层的GNN至少需要聚合目标结点的L-跳领域的信息 。因此 , 我们需要以围绕目标结点构造一个L-跳的ego network 。图中是一个2-跳ego network的例子 , 其中绿色结点是第1跳 , 蓝色结点是第2跳;
- 计算并更新ego-network里的每个结点的embedding 。embeddings会使用到图的结构信息和结点与边的特征 。

文章插图
那么 , 这些embedding是如何计算和更新的呢?主要是使用Message Passing的计算方法 。Message Passing有一些计算范式如GAS(Gather-ApplyEdge-Scatter), SAGA(Scatter-ApplyEdge-Gather-ApplyVertex)等 。我们这里介绍归纳得比较全面的SAGA计算范式 。假设需要计算和更新下图中的

文章插图
:

文章插图
- Scatter Propagate message from source vertex to edge.

文章插图
- ApplyEdge Transform message along each edge.

文章插图
- Gather Gather transformed message to the destination vertex.

文章插图
- ApplyVertex Transform the gathered output to get updated vertex.
经验总结扩展阅读
- 创造101王一博跳主题曲是哪一期?
- 上海迪士尼身高102cm要买票吗 上海迪士尼身高101会查吗
- 知识图谱实体对齐2:基于GNN嵌入的方法
- 110104属于北京哪个区
- 肖战上101是哪一期?
- 恋爱101度王俊相亲第几集?
- 101孟美岐撑腰是哪一期?
- 如何评价西决G7火箭92101输给勇士
- 如何评价因创造101而爆火的麦锐电影获数千万元A轮融资
- 101胶水怎么去除

